Blog
Integrala Din Cos 2 X
dragon ball z budokai tenkaichi 3 wii cheat
eroii de la termopile online subtitrat in romana
evaluare nationala 2013 matematica subiecte si barem
electromotor opel astra h 1 7 cdti
dragon ball z budokai tenkaichi 3 cover ps2
energizer power max p16k pro pret
evaluare finala grupa mijlocie fise de lucru
e boda smart time 400 hr
Integral Of Cos 2 X Youtube
Integration Example Cos 2 X Youtube
Integral Of Cos 2 X Youtube
What Is The Integration Of Cos2x Quora
Integrala Din Cos Patrat De X Brainly Ro
Integral Of Cos 2x Substitution Youtube
Integral Xsinx 1 Cos 2 X Dx I Get That In Walfram Https Www Wolframalpha Com Input I Integral Xsinx 2f 281 2bcos 2x 29 But It Does Not Help Enotes
Integrale
Integrale Question Integrity
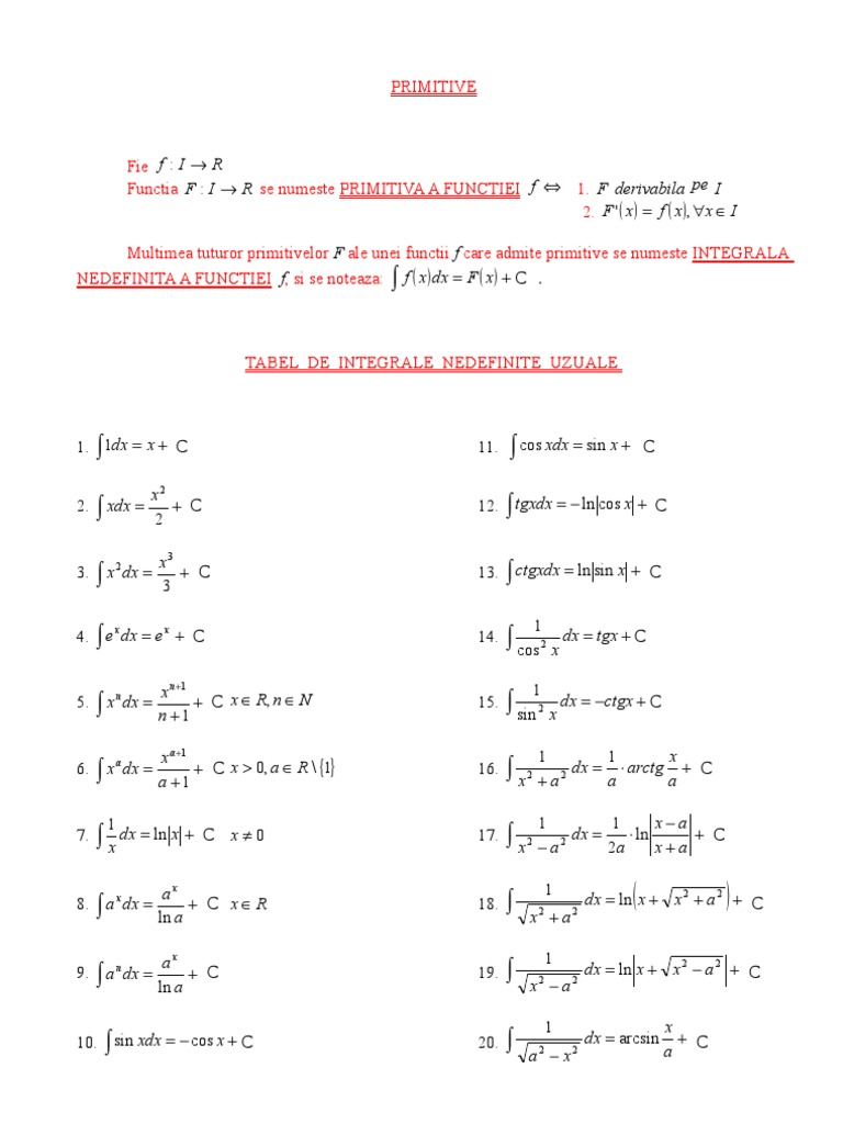
Tabel Derivate Si Integrale
Integrala Din 2x Sin X 2 1 Cos X 2 1 Dx Brainly Ro
How Do You Integrate E 3x Sin 2x Dx Socratic
Misc 26 Definite Integral Sinx Cosx Cos4 X Sin4 X Miscellaneou
Integral Of Cos 3x
How To Integrate Sinxcosx Quora
Integrale Rezolvate
Integral Of 1 Cos 2 X Substitution Youtube
How Do You Integrate Sinx Cosx Cos2x Dx Socratic
Integration Using Euler S Formula Wikipedia
Integrare Prin Părți Math Wiki Fandom
Source :
pinterest.com
Random Posts
Drawing Inquisitormaster Can You Keep A Secret Series
Eroii De La Termopile Online Subtitrat
Espressor Delonghi Magnifica S Ecam 22 110 B Pareri
Dress My Little Pony Equestria Girls Rainbow Rocks Rarity
Dragon Ball Z Budokai Tenkaichi 3 Para Ppsspp
Dr Jekyll And Mr Hyde Movie 2003
Dragon Ball Z Budokai Tenkaichi 3 Cover Ps2
Eu Robotul Online Subtitrate In Romana
Editura Tehno Art Prescolari Caiete Speciale
Dr Jekyll And Mr Hyde Movie 1941
Drawing Dr Jekyll And Mr Hyde Tattoo
Dr Jekyll And Mr Hyde Pdf Oxford
Dr Jekyll And Mr Hyde Artwork
Dragon Ball Z Budokai Tenkaichi 3 Ppsspp Android Download
Dr Jekyll And Mr Hyde Art
Dr Jekyll And Mr Hyde Nes Box Art
Dr Jekyll And Mr Hyde Cartoon
Dragon Ball Z Budokai Tenkaichi 3 Gameplay
Dragon Ball Z Budokai Tenkaichi 3 Iso Ppsspp
Dr Jekyll And Mr Hyde Cartoon Pictures